python 還原梯度下降算法實現一維線性回歸
首先我們看公式:

這個是要擬合的函數
然后我們求出它的損失函數, 注意:這里的n和m均為數據集的長度,寫的時候忘了

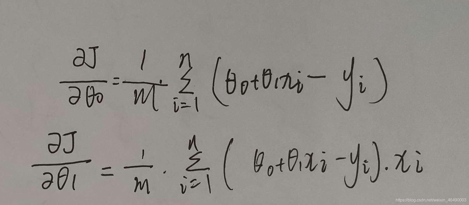
注意,前面的theta0-theta1x是實際值,后面的y是期望值接著我們求出損失函數的偏導數:

最終,梯度下降的算法:

學習率一般小于1,當損失函數是0時,我們輸出theta0和theta1.接下來上代碼!
class LinearRegression(): def __init__(self, data, theta0, theta1, learning_rate): self.data = data self.theta0 = theta0 self.theta1 = theta1 self.learning_rate = learning_rate self.length = len(data) # hypothesis def h_theta(self, x): return self.theta0 + self.theta1 * x # cost function def J(self): temp = 0 for i in range(self.length): temp += pow(self.h_theta(self.data[i][0]) - self.data[i][1], 2) return 1 / (2 * self.m) * temp # partial derivative def pd_theta0_J(self): temp = 0 for i in range(self.length): temp += self.h_theta(self.data[i][0]) - self.data[i][1] return 1 / self.m * temp def pd_theta1_J(self): temp = 0 for i in range(self.length): temp += (self.h_theta(data[i][0]) - self.data[i][1]) * self.data[i][0] return 1 / self.m * temp # gradient descent def gd(self): min_cost = 0.00001 round = 1 max_round = 10000 while min_cost < abs(self.J()) and round <= max_round: self.theta0 = self.theta0 - self.learning_rate * self.pd_theta0_J() self.theta1 = self.theta1 - self.learning_rate * self.pd_theta1_J() print(’round’, round, ’:t theta0=%.16f’ % self.theta0, ’t theta1=%.16f’ % self.theta1) round += 1 return self.theta0, self.theta1def main():data = [[1, 2], [2, 5], [4, 8], [5, 9], [8, 15]] # 這里換成你想擬合的數[x, y] # plot scatter x = [] y = [] for i in range(len(data)): x.append(data[i][0]) y.append(data[i][1]) plt.scatter(x, y) # gradient descent linear_regression = LinearRegression(data, theta0, theta1, learning_rate) theta0, theta1 = linear_regression.gd() # plot returned linear x = np.arange(0, 10, 0.01) y = theta0 + theta1 * x plt.plot(x, y) plt.show()
到此這篇關于python 還原梯度下降算法實現一維線性回歸 的文章就介紹到這了,更多相關python 一維線性回歸 內容請搜索好吧啦網以前的文章或繼續瀏覽下面的相關文章希望大家以后多多支持好吧啦網!
相關文章:
1. 基于android studio的layout的xml文件的創建方式2. 詳解Android studio 動態fragment的用法3. 圖文詳解vue中proto文件的函數調用4. 解決Android studio xml界面無法預覽問題5. Spring Boot和Thymeleaf整合結合JPA實現分頁效果(實例代碼)6. 什么是python的自省7. Android如何加載Base64編碼格式圖片8. 使用Android studio查看Kotlin的字節碼教程9. Vuex localStorage的具體使用10. Vue封裝一個TodoList的案例與瀏覽器本地緩存的應用實現

網公網安備