Python 線性回歸分析以及評價指標詳解
廢話不多說,直接上代碼吧!
'''# 利用 diabetes數據集來學習線性回歸 # diabetes 是一個關于糖尿病的數據集, 該數據集包括442個病人的生理數據及一年以后的病情發展情況。 # 數據集中的特征值總共10項, 如下: # 年齡 # 性別 #體質指數 #血壓 #s1,s2,s3,s4,s4,s6 (六種血清的化驗數據) #但請注意,以上的數據是經過特殊處理, 10個數據中的每個都做了均值中心化處理,然后又用標準差乘以個體數量調整了數值范圍。 #驗證就會發現任何一列的所有數值平方和為1. ''' import matplotlib.pyplot as pltimport numpy as npfrom sklearn import datasets, linear_modelfrom sklearn.metrics import mean_squared_error, r2_score # Load the diabetes datasetdiabetes = datasets.load_diabetes() # Use only one feature # 增加一個維度,得到一個體質指數數組[[1],[2],...[442]]diabetes_X = diabetes.data[:, np.newaxis,2]print(diabetes_X) # Split the data into training/testing setsdiabetes_X_train = diabetes_X[:-20]diabetes_X_test = diabetes_X[-20:] # Split the targets into training/testing setsdiabetes_y_train = diabetes.target[:-20]diabetes_y_test = diabetes.target[-20:] # Create linear regression objectregr = linear_model.LinearRegression() # Train the model using the training setsregr.fit(diabetes_X_train, diabetes_y_train) # Make predictions using the testing setdiabetes_y_pred = regr.predict(diabetes_X_test) # The coefficients # 查看相關系數 print(’Coefficients: n’, regr.coef_) # The mean squared error # 均方差# 查看殘差平方的均值(mean square error,MSE) print('Mean squared error: %.2f' % mean_squared_error(diabetes_y_test, diabetes_y_pred)) # Explained variance score: 1 is perfect prediction # R2 決定系數(擬合優度)# 模型越好:r2→1# 模型越差:r2→0print(’Variance score: %.2f’ % r2_score(diabetes_y_test, diabetes_y_pred)) # Plot outputsplt.scatter(diabetes_X_test, diabetes_y_test, color=’black’)plt.plot(diabetes_X_test, diabetes_y_pred, color=’blue’, linewidth=3) plt.xticks(())plt.yticks(()) plt.show()
對于回歸模型效果的判斷指標經過了幾個過程,從SSE到R-square再到Ajusted R-square, 是一個完善的過程:
SSE(誤差平方和):The sum of squares due to error
R-square(決定系數):Coefficient of determination
Adjusted R-square:Degree-of-freedom adjusted coefficient of determination
下面我對以上幾個名詞進行詳細的解釋下,相信能給大家帶來一定的幫助!!
一、SSE(誤差平方和)
計算公式如下:

同樣的數據集的情況下,SSE越小,誤差越小,模型效果越好
缺點:
SSE數值大小本身沒有意義,隨著樣本增加,SSE必然增加,也就是說,不同的數據集的情況下,SSE比較沒有意義
二、R-square(決定系數)

數學理解: 分母理解為原始數據的離散程度,分子為預測數據和原始數據的誤差,二者相除可以消除原始數據離散程度的影響
其實“決定系數”是通過數據的變化來表征一個擬合的好壞。
理論上取值范圍(-∞,1], 正常取值范圍為[0 1] ------實際操作中通常會選擇擬合較好的曲線計算R²,因此很少出現-∞
越接近1,表明方程的變量對y的解釋能力越強,這個模型對數據擬合的也較好
越接近0,表明模型擬合的越差
經驗值:>0.4, 擬合效果好
缺點:
數據集的樣本越大,R²越大,因此,不同數據集的模型結果比較會有一定的誤差
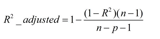
三、Adjusted R-Square (校正決定系數)

n為樣本數量,p為特征數量
消除了樣本數量和特征數量的影響
以上這篇Python 線性回歸分析以及評價指標詳解就是小編分享給大家的全部內容了,希望能給大家一個參考,也希望大家多多支持好吧啦網。
相關文章:

網公網安備