python實現梯度法 python最速下降法
假設我們已經知道梯度法——最速下降法的原理。
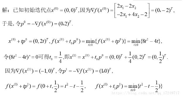
現給出一個算例:

如果人工直接求解:


現給出Python求解過程:
import numpy as npfrom sympy import *import mathimport matplotlib.pyplot as pltimport mpl_toolkits.axisartist as axisartist# 定義符號x1, x2, t = symbols(’x1, x2, t’)def func(): # 自定義一個函數 return pow(x1, 2) + 2 * pow(x2, 2) - 2 * x1 * x2 - 2 * x2def grad(data): # 求梯度向量,data=[data1, data2] f = func() grad_vec = [diff(f, x1), diff(f, x2)] # 求偏導數,梯度向量 grad = [] for item in grad_vec: grad.append(item.subs(x1, data[0]).subs(x2, data[1])) return graddef grad_len(grad): # 梯度向量的模長 vec_len = math.sqrt(pow(grad[0], 2) + pow(grad[1], 2)) return vec_lendef zhudian(f): # 求得min(t)的駐點 t_diff = diff(f) t_min = solve(t_diff) return t_mindef main(X0, theta): f = func() grad_vec = grad(X0) grad_length = grad_len(grad_vec) # 梯度向量的模長 k = 0 data_x = [0] data_y = [0] while grad_length > theta: # 迭代的終止條件 k += 1 p = -np.array(grad_vec) # 迭代 X = np.array(X0) + t*p t_func = f.subs(x1, X[0]).subs(x2, X[1]) t_min = zhudian(t_func) X0 = np.array(X0) + t_min*p grad_vec = grad(X0) grad_length = grad_len(grad_vec) print(’grad_length’, grad_length) print(’坐標’, X0[0], X0[1]) data_x.append(X0[0]) data_y.append(X0[1]) print(k) # 繪圖 fig = plt.figure() ax = axisartist.Subplot(fig, 111) fig.add_axes(ax) ax.axis['bottom'].set_axisline_style('-|>', size=1.5) ax.axis['left'].set_axisline_style('->', size=1.5) ax.axis['top'].set_visible(False) ax.axis['right'].set_visible(False) plt.title(r’$Gradient method - steepest descent method$’) plt.plot(data_x, data_y, label=r’$f(x_1,x_2)=x_1^2+2 cdot x_2^2-2 cdot x_1 cdot x_2-2 cdot x_2$’) plt.legend() plt.scatter(1, 1, marker=(5, 1), c=5, s=1000) plt.grid() plt.xlabel(r’$x_1$’, fontsize=20) plt.ylabel(r’$x_2$’, fontsize=20) plt.show()if __name__ == ’__main__’: # 給定初始迭代點和閾值 main([0, 0], 0.00001)
最終結果圖如下所示:

以上就是本文的全部內容,希望對大家的學習有所幫助,也希望大家多多支持好吧啦網。
相關文章:

網公網安備