Python 實現定積分與二重定積分的操作
最近項目需要使用程序實現數學微積分,最初想用java實現,后來發現可用文檔太少,實現比較麻煩,后來嘗試使用python實現,代碼量較少,主要有sympy與scipy兩種實現方式,本文主要記錄scipy的實現方式。
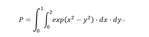
2.內容2.1 所求函數
# 引入需要的包import scipy.integratefrom numpy import expfrom math import sqrtimport math# 創建表達式f = lambda x,y : exp(x**2-y**2)# 計算二重積分:(p:積分值,err:誤差)# 這里注意積分區間的順序# 第二重積分的區間參數要以函數的形式傳入p,err= scipy.integrate.dblquad(f, 0, 2, lambda g : 0, lambda h : 1)print(p)2.3 注意問題
1. exp盡量使用numpy的exp
2. 注意積分區間參數的順序
3. 第二重積分的區間參數要以函數的形式傳入
補充:python實現求解積分
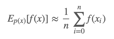
例子 1:假設有隨機變量 x,定義域 X,其概率密度函數為 p(x),f(x) 為定義在 X 上的函數,目標是求函數 f(x) 關于密度函數 p(x) 的數學期望
。
蒙特卡洛法根據概率分布 p(x) 獨立地抽樣 n 個樣本 x1,x2,…..xn,得到近似的 f(x) 期望為:

其實這個的理解就是要求一個擁有概率密度的函數期望值
期望=積分(每個點的密度函數*每個點的價值函數)
例子 2:假設我們想要求解 h(x) 在 X 上的積分:

我們將 h(x) 分解成一個函數 f(x) 和一個概率密度函數 p(x) 的乘積,進而又將問題轉換為求解函數 f(x) 關于密度函數 p(x) 的數學期望
:

這里的Ep(x)是相當于把整個分布當時了概率分布,即總發生概率為1.
這里,f(x) 表示為
,則有:

更一般的,假設我們想要求解
,熟悉積分的同學肯定已經知道答案為
,那么如何用采樣的方法來得到這個值呢?
令
,0<x<10,那么
。
下面是代碼:
’’’import randomnum=1000000sum=0for i in range(0,num): x=random.uniform(0,10) sum+=x*x*10sum/=1000000print(sum)’’’import randomnumSamples=10000samples=[random.uniform(0,10)for _ in range(numSamples)]f_samples=[10*sample**2 for sample in samples]result=1/10000.0*sum(f_samples)print(result)
result=333.10527012455066
random.uniform(x,y)表示在[x,y)之間生成一個 實數
對于復雜的 h(x),這種方法計算起來顯然就更加方便了(特別是忘記積分怎么算的同學)。
蒙特卡洛方法其實就是利用大數定理通過大量統計來算出最后的值。
到這里為止,我們簡單的介紹了蒙特卡洛方法,但是依舊沒有提到要怎么利用復雜的概率密度函數進行采樣。
接下來我們來看一下接受-拒絕法(accept-reject sampling method),它也是蒙特卡洛法中的一種類型適用于不能直接抽樣的情況。
以上為個人經驗,希望能給大家一個參考,也希望大家多多支持好吧啦網。
相關文章:

網公網安備