JavaScript實現HSL拾色器
HSL 和 HSV 在數學上定義為在 RGB 空間中的顏色的 R, G 和 B 的坐標的變換。
從 RGB 到 HSL 或 HSV 的轉換
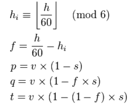
設 (r, g, b) 分別是一個顏色的紅、綠和藍坐標,它們的值是在 0 到 1 之間的實數。設 max 等價于 r, g 和 b 中的最大者。設 min 等于這些值中的最小者。要找到在 HSL 空間中的 (h, s, l) 值,這里的 h ∈ [0, 360)是角度的色相角,而 s, l ∈ [0,1] 是飽和度和亮度,計算為:

h 的值通常規范化到位于 0 到 360°之間。而 h = 0 用于 max = min 的(就是灰色)時候而不是留下 h 未定義。 HSL 和 HSV 有同樣的色相定義,但是其他分量不同。HSV 顏色的 s 和 v 的值定義如下:

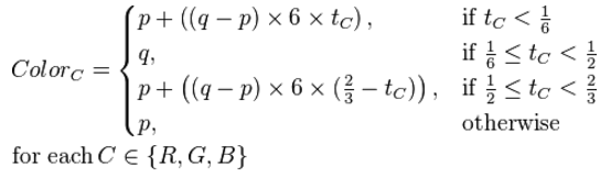
從 HSL 到 RGB 的轉換
給定 HSL 空間中的 (h, s, l) 值定義的一個顏色,帶有 h 在指示色相角度的值域 [0, 360)中,分別表示飽和度和亮度的s 和 l 在值域 [0, 1] 中,相應在 RGB 空間中的 (r, g, b) 三原色,帶有分別對應于紅色、綠色和藍色的 r, g 和 b 也在值域 [0, 1] 中,它們可計算為: 首先,如果 s = 0,則結果的顏色是非彩色的、或灰色的。在這個特殊情況,r, g 和 b 都等于 l。注意 h 的值在這種情況下是未定義的。 當 s ≠ 0 的時候,可以使用下列過程:

對于每個顏色向量 Color = (ColorR, ColorG, ColorB) = (r, g, b),

從 HSV 到 RGB 的轉換
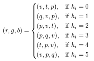
類似的,給定在 HSV 中 (h, s, v) 值定義的一個顏色,帶有如上的 h,和分別表示飽和度和明度的 s 和 v 變化于 0 到 1 之間,在 RGB 空間中對應的 (r, g, b) 三原色可以計算為:

對于每個顏色向量 (r, g, b),

<html> <style> .childDiv { display:inline-block;vertical-align:middle; margin-left: 30px; margin-top: 10px; margin-bottom: 10px; } #colorPickDiv { background-color: WhiteSmoke; border: 1px solid LightGrey; padding-top: 20px; padding-bottom: 20px; padding-right: 30px; } #hueTipDiv { margin: 0 0 10px 70px; } #luminanceTipDiv { margin-top: 20px } #colorDiv { width: 100px; height: 100px; background-color: black; } #valueDiv { box-shadow: 0px -5px 10px LightGrey; background-color: WhiteSmoke; border: 1px solid LightGrey; border-top-width: 0; padding-right: 10px; padding-bottom: 10px; } </style> <body> <div> <div id='colorPickDiv'><div class='childDiv'> <div id='hueTipDiv'>Hue:0</div> <canvas height='200'>Your browser does not support canvas</canvas></div><div class='childDiv'> <div class='divMarginBottom'>Saturation:0%</div> <input onChange='onHSLRangeChange()' type='range' min='0' max='100' step='1' value='100'/> <div class='divMarginBottom'>Luminance:0%</div> <input onChange='onHSLRangeChange()' type='range' min='0' max='100' step='1' value='50'/></div><div class='childDiv'></div> </div> <div id='valueDiv'><div class='childDiv'> <div class='divMarginBottom'>Hexadecimal:</div> <input type='text' disabled='disabled'/></div><div class='childDiv'> <div class='divMarginBottom'>RGB:</div> <input type='text' readonly='readonly'/></div><div class='childDiv'> <div class='divMarginBottom'>HSL:</div> <input type='text' readonly='readonly'/></div> </div> </div> <script> var c = document.getElementById('canvas'); var ctx = c.getContext('2d'); var colorDiv = document.getElementById('colorDiv'); var hexadecimalValueDiv = document.getElementById('hexadecimalValueDiv'); var rgbValueDiv = document.getElementById('rgbValueDiv'); var hslValueDiv = document.getElementById('hslValueDiv'); var hexadecimalTipDiv = document.getElementById('hexadecimalTipDiv'); var saturationTipDiv = document.getElementById('saturationTipDiv'); var saturationRange = document.getElementById('saturationRange'); var luminanceTipDiv = document.getElementById('luminanceTipDiv'); var luminanceRange = document.getElementById('luminanceRange'); //十字光標顏色 var crossCursorColor = 'black'; //十字光標線寬 var crossCursorLineWidth = 2; //十字光標某一邊線段長 var crossCursorHalfLineLen = 5; //十字光標中間斷裂處長度 var crossCursorHalfBreakLineLen = 2; //畫布中心點X坐標 var centerX = c.width / 2; //畫布中心點Y坐標 var centerY = c.height / 2; //縮放繪制比例 var scaleRate = 10; //畫布的內切圓半徑(之所以減去一個數是為了可以顯示完整的十字光標) var innerRadius = Math.min(centerX, centerY) - crossCursorHalfLineLen - crossCursorHalfBreakLineLen; //內切圓半徑的平方 var pow2InnerRadius = Math.pow(innerRadius, 2); //縮放繪制時的繪制半徑,即畫布的外徑除以縮放比例 var scaledRadius = Math.sqrt(Math.pow(c.width / 2, 2) + Math.pow(c.height / 2, 2)) / scaleRate; //由于該圓是由繞圓心的多條線段組成,該值表示將圓分割的份數 var count = 360; //一整個圓的弧度值 var doublePI = Math.PI * 2; //由于圓心處是多條線段的交匯點,Composite是source-over模式,所以后繪制的線段會覆蓋前一個線段。另外由于采用線段模擬圓,英雌 var deprecatedRadius = innerRadius * 0.3; //廢棄圓半徑的平方 var pow2DeprecatedRadius = Math.pow(deprecatedRadius, 2); //色相(0-360) var hue; //飽和度(0%-100%) var saturation; //亮度luminance或明度lightness(0%-100%) var luminance; //當前色相位置X坐標 var currentHuePosX = centerX + innerRadius - 1; //當前色相位置Y坐標 var currentHuePosY = centerY; //填充圓 function fillCircle(cx, cy, r, color) {ctx.fillStyle = color;ctx.beginPath();ctx.arc(cx, cy, r, 0, doublePI);ctx.fill(); } //繪制線條 function strokeLine(x1, y1, x2, y2) {ctx.beginPath();ctx.moveTo(x1, y1);ctx.lineTo(x2, y2);ctx.stroke(); } //將整數轉為16進制,至少保留2位 function toHexString(intValue) {var str = intValue.toString(16);if(str.length == 1) { str = '0' + str;}return str; } //判斷坐標(x,y)是否在合法的區域內 function isInValidRange(x, y) {var pow2Distance = Math.pow(x-centerX, 2) + Math.pow(y-centerY, 2);return pow2Distance >= pow2DeprecatedRadius && pow2Distance <= pow2InnerRadius; } //繪制十字光標 function strokeCrossCursor(x, y) {ctx.globalCompositeOperation = 'source-over';ctx.strokeColor = crossCursorColor;ctx.lineWidth = crossCursorLineWidth;strokeLine(x, y-crossCursorHalfBreakLineLen, x, y-crossCursorHalfBreakLineLen-crossCursorHalfLineLen);strokeLine(x, y+crossCursorHalfBreakLineLen, x, y+crossCursorHalfBreakLineLen+crossCursorHalfLineLen);strokeLine(x-crossCursorHalfBreakLineLen, y, x-crossCursorHalfBreakLineLen-crossCursorHalfLineLen, y);strokeLine(x+crossCursorHalfBreakLineLen, y, x+crossCursorHalfBreakLineLen+crossCursorHalfLineLen, y); } //將對象中的hsl分量組成一個hsl顏色(h在0到360之間,s與l均在0到1之間) function formHslColor(obj) {return 'hsl(' + obj.h + ',' + Math.round(obj.s * 1000)/10 + '%,' + Math.round(obj.l * 1000)/10 + '%)'; } //將對象中的rgb分量組成一個rgb顏色(r,g,b在0到255之間) function formRgbColor(obj) {return 'rgb(' + [obj.r, obj.g, obj.b].join(',') + ')'; } //從畫布的某點獲取存儲RGB的對象 function getRgbObj(x, y) {var w = 1;var h = 1;var imgData = ctx.getImageData(x,y,w,h);var obj = { r: imgData.data[0], g: imgData.data[1], b: imgData.data[2], a: imgData.data[3]}return obj; } //將rgb轉換為hsl對象() function rgbToHslObj(r, g, b) {r /= 255;g /= 255;b /= 255;var max = Math.max(r, g, b);var min = Math.min(r, g, b);var diff = max - min;var twoValue = max + min;var obj = {h:0, s:0, l:0};if(max == min) { obj.h = 0;} else if(max == r && g >= b) { obj.h = 60 * (g - b) / diff;} else if(max == r && g < b) { obj.h = 60 * (g - b) / diff + 360;} else if(max == g) { obj.h = 60 * (b - r) / diff + 120;} else if(max == b) { obj.h = 60 * (r - g) / diff + 240;}obj.l = twoValue / 2;if(obj.l == 0 || max == min) { obj.s = 0;} else if(0 < obj.l && obj.l <= 0.5) { obj.s = diff / twoValue; //obj.s = diff / (2 * obj.l);} else { obj.s = diff / (2 - twoValue); //obj.s = diff / (2 - 2 * obj.l);}obj.h = Math.round(obj.h);return obj; } //創建Hue顏色圓環 function createHueRing() {ctx.globalCompositeOperation = 'source-over';ctx.clearRect(0,0,c.width,c.height);ctx.save();//將繪制原點移動到畫布中心ctx.translate(centerX, centerY);//將畫布放大相應比例,restore后,繪制內容會縮小ctx.scale(scaleRate, scaleRate);for(var i=0; i<count; i++) { var degree = i / count * 360; var radian = Math.PI * degree / 180; var x = scaledRadius * Math.cos(radian); var y = scaledRadius * Math.sin(radian); ctx.lineWidth=1; ctx.strokeStyle = 'hsl(' + degree +',' + saturation + ',' + luminance + ')'; ctx.beginPath(); ctx.moveTo(x, y); ctx.lineTo(0,0); ctx.stroke();}ctx.restore();ctx.globalCompositeOperation = 'destination-out';fillCircle(centerX, centerY, deprecatedRadius, 'black');ctx.globalCompositeOperation = 'destination-in';fillCircle(centerX, centerY, innerRadius, 'black'); } //點擊canvas中的Hue拾色圈 function onCanvasClick() {var x = event.offsetX;var y = event.offsetY;if(!isInValidRange(x, y)) { return;}currentHuePosX = x;currentHuePosY = y;//創建hue背景圓環createHueRing();setColorValue(x, y);strokeCrossCursor(x, y); } function setColorValue(x, y) {//獲取包含rgb的顏色對象var rgbObj = getRgbObj(x, y);var rgbColor = formRgbColor(rgbObj);colorDiv.style.backgroundColor = rgbColor;rgbValueDiv.value = rgbColor;var hex = '#' + toHexString(rgbObj.r) + toHexString(rgbObj.g) + toHexString(rgbObj.b);hexadecimalValueDiv.value = hex;var hslObj = rgbToHslObj(rgbObj.r, rgbObj.g, rgbObj.b);hslValueDiv.value = formHslColor(hslObj);hueTipDiv.innerHTML = ('Hue:' + hslObj.h); } function onHSLRangeChange() {//event.target.value;saturation = saturationRange.value + '%';luminance = luminanceRange.value + '%';saturationTipDiv.innerHTML = ('Saturation:' + saturation);luminanceTipDiv.innerHTML = ('Luminance:' + luminance);createHueRing();setColorValue(currentHuePosX, currentHuePosY)strokeCrossCursor(currentHuePosX, currentHuePosY); } function init() {c.addEventListener('click', onCanvasClick);onHSLRangeChange(); } init(); </script> </body></html>


有幾個缺陷:
- 不能根據顏色值來設置HSL。 - 由于HSL的值是根據從Hue環形調色板中取出的RGB顏色值換算為HSL的,因此跟滑動條上的值可能會有出入(如果是5舍6入那就一樣了)
以上就是本文的全部內容,希望對大家的學習有所幫助,也希望大家多多支持好吧啦網。
相關文章:

網公網安備